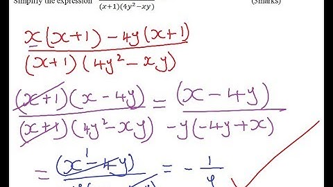
2010 KCSE MATHEMATICS PAPER 1 QUESTION 13

Tonton & Download Video Musik Gratis

⬇ DOWNLOAD NOW
Kalau muncul iklan pop-up, tutup lalu klik tombol kembali

Download lagu 2010 KCSE MATHEMATICS PAPER 1 QUESTION 13 secara gratis hanya untuk keperluan promosi. Dukung artis favorit kamu dengan membeli musik original di iTunes atau platform resmi lainnya.