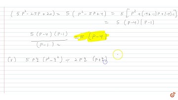
Factorise the expressions and divide them as directed. (iii) (5p^2 – 25p + 20) ÷ (p – 1)

Tonton & Download Video Musik Gratis

⬇ DOWNLOAD NOW
Kalau muncul iklan pop-up, tutup lalu klik tombol kembali

Download lagu Factorise the expressions and divide them as directed. (iii) (5p^2 – 25p + 20) ÷ (p – 1) secara gratis hanya untuk keperluan promosi. Dukung artis favorit kamu dengan membeli musik original di iTunes atau platform resmi lainnya.