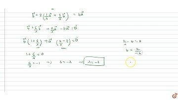
Let a⃗, b⃗, c⃗ be three non-zero vectors which are pairwise non-collinear. If a⃗+3 b⃗ is collinea...

Tonton & Download Video Musik Gratis

⬇ DOWNLOAD NOW
Kalau muncul iklan pop-up, tutup lalu klik tombol kembali

Download lagu Let a⃗, b⃗, c⃗ be three non-zero vectors which are pairwise non-collinear. If a⃗+3 b⃗ is collinea... secara gratis hanya untuk keperluan promosi. Dukung artis favorit kamu dengan membeli musik original di iTunes atau platform resmi lainnya.