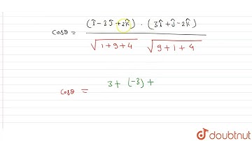
Find the angle between the following pairs of lines:(i) ` -gt r=2 hat i-5 hat j+ hat k+lambda

Tonton & Download Video Musik Gratis

⬇ DOWNLOAD NOW
Kalau muncul iklan pop-up, tutup lalu klik tombol kembali

Download lagu Find the angle between the following pairs of lines:(i) ` -gt r=2 hat i-5 hat j+ hat k+lambda secara gratis hanya untuk keperluan promosi. Dukung artis favorit kamu dengan membeli musik original di iTunes atau platform resmi lainnya.