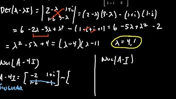
Problem A.26 - Simultaneous Diagonalization with Degenerate Eigenvalues: Intro to QM Appendix

Tonton & Download Video Musik Gratis

⬇ DOWNLOAD NOW
Kalau muncul iklan pop-up, tutup lalu klik tombol kembali

Download lagu Problem A.26 - Simultaneous Diagonalization with Degenerate Eigenvalues: Intro to QM Appendix secara gratis hanya untuk keperluan promosi. Dukung artis favorit kamu dengan membeli musik original di iTunes atau platform resmi lainnya.