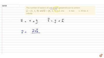
Write the number of vectors of unit length perpendicular to both the vectors ` vec a=2 hat i+ hat

Tonton & Download Video Musik Gratis

⬇ DOWNLOAD NOW
Kalau muncul iklan pop-up, tutup lalu klik tombol kembali

Download lagu Write the number of vectors of unit length perpendicular to both the vectors ` vec a=2 hat i+ hat secara gratis hanya untuk keperluan promosi. Dukung artis favorit kamu dengan membeli musik original di iTunes atau platform resmi lainnya.