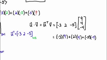
Applied;complex examples on scalar product and unit vector/amharic እመኑኝ ይሄን video አይታችሁ 100% ትወዱታላችሁ

Tonton & Download Video Musik Gratis

⬇ DOWNLOAD NOW
Kalau muncul iklan pop-up, tutup lalu klik tombol kembali

Download lagu Applied;complex examples on scalar product and unit vector/amharic እመኑኝ ይሄን video አይታችሁ 100% ትወዱታላችሁ secara gratis hanya untuk keperluan promosi. Dukung artis favorit kamu dengan membeli musik original di iTunes atau platform resmi lainnya.