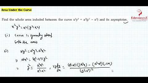
Find the whole area included between the curve x^2 y^2= a^2(y^2-x^2) and its asymptotes. class 12IIT

Tonton & Download Video Musik Gratis

⬇ DOWNLOAD NOW
Kalau muncul iklan pop-up, tutup lalu klik tombol kembali

Download lagu Find the whole area included between the curve x^2 y^2= a^2(y^2-x^2) and its asymptotes. class 12IIT secara gratis hanya untuk keperluan promosi. Dukung artis favorit kamu dengan membeli musik original di iTunes atau platform resmi lainnya.