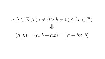
Lec 07 existence and uniqueness of greatest common divisor II gcd(a, b) = ax + by #numbertheory

Tonton & Download Video Musik Gratis

⬇ DOWNLOAD NOW
Kalau muncul iklan pop-up, tutup lalu klik tombol kembali

Download lagu Lec 07 existence and uniqueness of greatest common divisor II gcd(a, b) = ax + by #numbertheory secara gratis hanya untuk keperluan promosi. Dukung artis favorit kamu dengan membeli musik original di iTunes atau platform resmi lainnya.