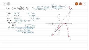
Algebra 2 Honors Section 3.5.3 Part 3 Graphing with Slant Asymptotes

Tonton & Download Video Musik Gratis

⬇ DOWNLOAD NOW
Kalau muncul iklan pop-up, tutup lalu klik tombol kembali

Download lagu Algebra 2 Honors Section 3.5.3 Part 3 Graphing with Slant Asymptotes secara gratis hanya untuk keperluan promosi. Dukung artis favorit kamu dengan membeli musik original di iTunes atau platform resmi lainnya.