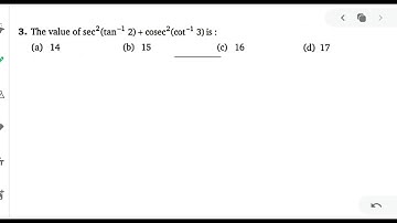
Black Book | Inverse Trigonometric Functions | Page no.360 | Q.5 | JEE Mains and Advanced

Tonton & Download Video Musik Gratis

⬇ DOWNLOAD NOW
Kalau muncul iklan pop-up, tutup lalu klik tombol kembali

Download lagu Black Book | Inverse Trigonometric Functions | Page no.360 | Q.5 | JEE Mains and Advanced secara gratis hanya untuk keperluan promosi. Dukung artis favorit kamu dengan membeli musik original di iTunes atau platform resmi lainnya.