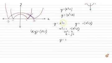
The angle of intersection between the curves, `y=x^2 and y^2 = 4x`, at the point (0, 0) is (A)

Tonton & Download Video Musik Gratis

⬇ DOWNLOAD NOW
Kalau muncul iklan pop-up, tutup lalu klik tombol kembali

Download lagu The angle of intersection between the curves, `y=x^2 and y^2 = 4x`, at the point (0, 0) is (A) secara gratis hanya untuk keperluan promosi. Dukung artis favorit kamu dengan membeli musik original di iTunes atau platform resmi lainnya.