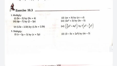
Algebraic expression and identities/ Exercise 10.3 Qu.no 1,2/ Class 8 ICSE ML Aggarwal APC BOOKS

Tonton & Download Video Musik Gratis

⬇ DOWNLOAD NOW
Kalau muncul iklan pop-up, tutup lalu klik tombol kembali

Download lagu Algebraic expression and identities/ Exercise 10.3 Qu.no 1,2/ Class 8 ICSE ML Aggarwal APC BOOKS secara gratis hanya untuk keperluan promosi. Dukung artis favorit kamu dengan membeli musik original di iTunes atau platform resmi lainnya.