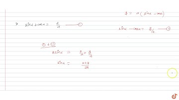
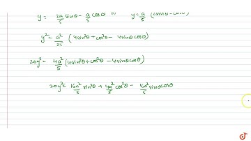
The locus of the point of intersection of the lines \( x \cos \theta+y \sin \theta=a \) and \( x...

Tonton & Download Video Musik Gratis

⬇ DOWNLOAD NOW
Kalau muncul iklan pop-up, tutup lalu klik tombol kembali

Download lagu The locus of the point of intersection of the lines \( x \cos \theta+y \sin \theta=a \) and \( x... secara gratis hanya untuk keperluan promosi. Dukung artis favorit kamu dengan membeli musik original di iTunes atau platform resmi lainnya.