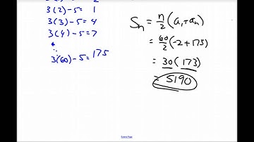
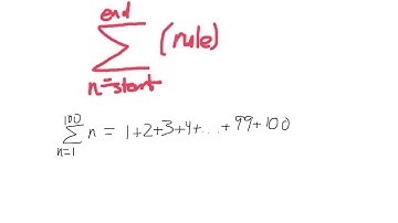
Algebra 2 - 9.2, 9.4 Notes - Arithmetic Sequences and Series + Summation Notation

Tonton & Download Video Musik Gratis

⬇ DOWNLOAD NOW
Kalau muncul iklan pop-up, tutup lalu klik tombol kembali

Download lagu Algebra 2 - 9.2, 9.4 Notes - Arithmetic Sequences and Series + Summation Notation secara gratis hanya untuk keperluan promosi. Dukung artis favorit kamu dengan membeli musik original di iTunes atau platform resmi lainnya.