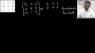
Class 12| Maths| Ch.1|Row Echelon Form|Example 1.13| Mr.Prakash

Tonton & Download Video Musik Gratis

⬇ DOWNLOAD NOW
Kalau muncul iklan pop-up, tutup lalu klik tombol kembali

Download lagu Class 12| Maths| Ch.1|Row Echelon Form|Example 1.13| Mr.Prakash secara gratis hanya untuk keperluan promosi. Dukung artis favorit kamu dengan membeli musik original di iTunes atau platform resmi lainnya.