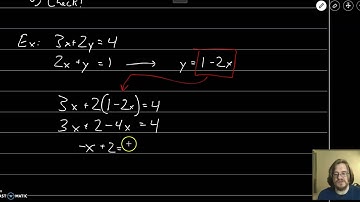
M121 Section 5.1 Part II (Number of Solutions to Linear Systems)

Tonton & Download Video Musik Gratis

⬇ DOWNLOAD NOW
Kalau muncul iklan pop-up, tutup lalu klik tombol kembali

Download lagu M121 Section 5.1 Part II (Number of Solutions to Linear Systems) secara gratis hanya untuk keperluan promosi. Dukung artis favorit kamu dengan membeli musik original di iTunes atau platform resmi lainnya.