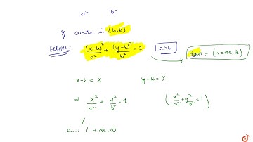
The equation of the ellipse , with axes parallel to the coordinates axes , whose

Tonton & Download Video Musik Gratis

⬇ DOWNLOAD NOW
Kalau muncul iklan pop-up, tutup lalu klik tombol kembali

Download lagu The equation of the ellipse , with axes parallel to the coordinates axes , whose secara gratis hanya untuk keperluan promosi. Dukung artis favorit kamu dengan membeli musik original di iTunes atau platform resmi lainnya.