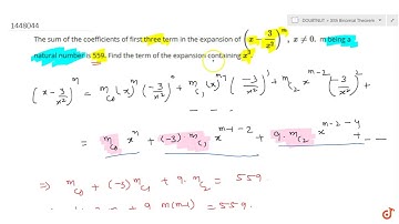
(x-(3/x^2))^m;x≠0; sum 1st 3 co-efficient=559 find term of expansion with x^3 | Binomial Expansion

Tonton & Download Video Musik Gratis

⬇ DOWNLOAD NOW
Kalau muncul iklan pop-up, tutup lalu klik tombol kembali

Download lagu (x-(3/x^2))^m;x≠0; sum 1st 3 co-efficient=559 find term of expansion with x^3 | Binomial Expansion secara gratis hanya untuk keperluan promosi. Dukung artis favorit kamu dengan membeli musik original di iTunes atau platform resmi lainnya.