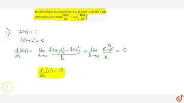
Let `f(x)` be a differentiable and let `c` a be a constant. Then `cf(x)` is also differentiable ...

Tonton & Download Video Musik Gratis

⬇ DOWNLOAD NOW
Kalau muncul iklan pop-up, tutup lalu klik tombol kembali

Download lagu Let `f(x)` be a differentiable and let `c` a be a constant. Then `cf(x)` is also differentiable ... secara gratis hanya untuk keperluan promosi. Dukung artis favorit kamu dengan membeli musik original di iTunes atau platform resmi lainnya.