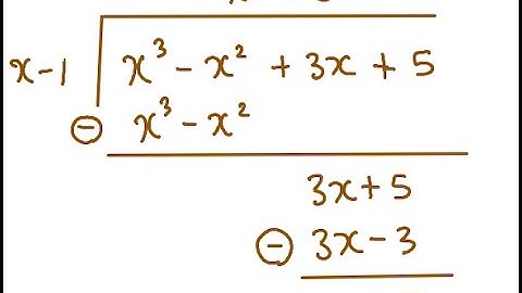
TKMaths A Level Maths P3 Long division & Solving Cubic equation-video#2

Tonton & Download Video Musik Gratis

⬇ DOWNLOAD NOW
Kalau muncul iklan pop-up, tutup lalu klik tombol kembali

Download lagu TKMaths A Level Maths P3 Long division & Solving Cubic equation-video#2 secara gratis hanya untuk keperluan promosi. Dukung artis favorit kamu dengan membeli musik original di iTunes atau platform resmi lainnya.