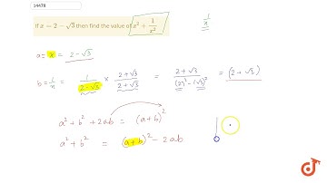
If x = 2 + sqrt(3) then x^2 + 1/x^2 = ?? | Number System #math

Tonton & Download Video Musik Gratis

⬇ DOWNLOAD NOW
Kalau muncul iklan pop-up, tutup lalu klik tombol kembali

Download lagu If x = 2 + sqrt(3) then x^2 + 1/x^2 = ?? | Number System #math secara gratis hanya untuk keperluan promosi. Dukung artis favorit kamu dengan membeli musik original di iTunes atau platform resmi lainnya.