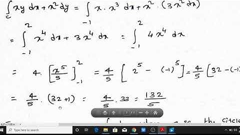
Calicut University - Sem 3 - Complimentary Mathematics - Independent of path - Part 8

Tonton & Download Video Musik Gratis

⬇ DOWNLOAD NOW
Kalau muncul iklan pop-up, tutup lalu klik tombol kembali

Download lagu Calicut University - Sem 3 - Complimentary Mathematics - Independent of path - Part 8 secara gratis hanya untuk keperluan promosi. Dukung artis favorit kamu dengan membeli musik original di iTunes atau platform resmi lainnya.