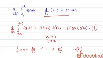
The area bounded by the curve \( y=f(x), x \)-axis, and the ordinates \( x=1 \) and \( x=b \) is...

Tonton & Download Video Musik Gratis

⬇ DOWNLOAD NOW
Kalau muncul iklan pop-up, tutup lalu klik tombol kembali

Download lagu The area bounded by the curve \( y=f(x), x \)-axis, and the ordinates \( x=1 \) and \( x=b \) is... secara gratis hanya untuk keperluan promosi. Dukung artis favorit kamu dengan membeli musik original di iTunes atau platform resmi lainnya.