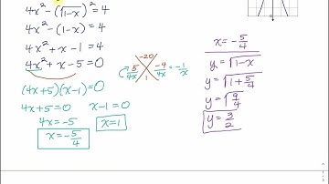
117 Use Nonlinear Systems of Equation to Solve Applications (5.4)

Tonton & Download Video Musik Gratis

⬇ DOWNLOAD NOW
Kalau muncul iklan pop-up, tutup lalu klik tombol kembali

Download lagu 117 Use Nonlinear Systems of Equation to Solve Applications (5.4) secara gratis hanya untuk keperluan promosi. Dukung artis favorit kamu dengan membeli musik original di iTunes atau platform resmi lainnya.