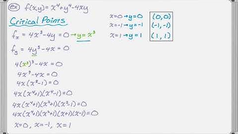
Min/Max Function of Two Variables: f(x,y)=x^4+y^4-4xy+1

Tonton & Download Video Musik Gratis

⬇ DOWNLOAD NOW
Kalau muncul iklan pop-up, tutup lalu klik tombol kembali

Download lagu Min/Max Function of Two Variables: f(x,y)=x^4+y^4-4xy+1 secara gratis hanya untuk keperluan promosi. Dukung artis favorit kamu dengan membeli musik original di iTunes atau platform resmi lainnya.