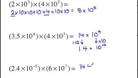
Multiplication of Standard Form GCSE Higher Maths #gcsemathsrevision #mathematics #standardform

Tonton & Download Video Musik Gratis

⬇ DOWNLOAD NOW
Kalau muncul iklan pop-up, tutup lalu klik tombol kembali

Download lagu Multiplication of Standard Form GCSE Higher Maths #gcsemathsrevision #mathematics #standardform secara gratis hanya untuk keperluan promosi. Dukung artis favorit kamu dengan membeli musik original di iTunes atau platform resmi lainnya.