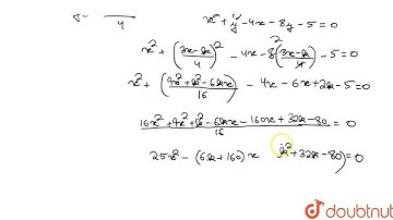
The circle x^2+y^2=4x+8y+5 intersects the line 3x4y=m at two distinct points if (1) 35ltmlt15 (...

Tonton & Download Video Musik Gratis

⬇ DOWNLOAD NOW
Kalau muncul iklan pop-up, tutup lalu klik tombol kembali

Download lagu The circle x^2+y^2=4x+8y+5 intersects the line 3x4y=m at two distinct points if (1) 35ltmlt15 (... secara gratis hanya untuk keperluan promosi. Dukung artis favorit kamu dengan membeli musik original di iTunes atau platform resmi lainnya.