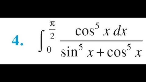
Exercise 7.11 Q.No 4 | Integrals class 12 maths in Tamil | properties of definite Integrals class 12

Tonton & Download Video Musik Gratis

⬇ DOWNLOAD NOW
Kalau muncul iklan pop-up, tutup lalu klik tombol kembali

Download lagu Exercise 7.11 Q.No 4 | Integrals class 12 maths in Tamil | properties of definite Integrals class 12 secara gratis hanya untuk keperluan promosi. Dukung artis favorit kamu dengan membeli musik original di iTunes atau platform resmi lainnya.