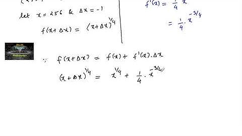
Use differentials to find the approximate value of `(log)_e(4. 01),` having given that `(log)_e4...

Tonton & Download Video Musik Gratis

⬇ DOWNLOAD NOW
Kalau muncul iklan pop-up, tutup lalu klik tombol kembali

Download lagu Use differentials to find the approximate value of `(log)_e(4. 01),` having given that `(log)_e4... secara gratis hanya untuk keperluan promosi. Dukung artis favorit kamu dengan membeli musik original di iTunes atau platform resmi lainnya.