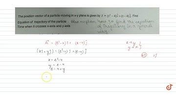
Ex-58 motion in a plane:if the position vector of a particle is given by r=(4cos2t)i+(4sin2t)j +(6t)

Tonton & Download Video Musik Gratis

⬇ DOWNLOAD NOW
Kalau muncul iklan pop-up, tutup lalu klik tombol kembali

Download lagu Ex-58 motion in a plane:if the position vector of a particle is given by r=(4cos2t)i+(4sin2t)j +(6t) secara gratis hanya untuk keperluan promosi. Dukung artis favorit kamu dengan membeli musik original di iTunes atau platform resmi lainnya.