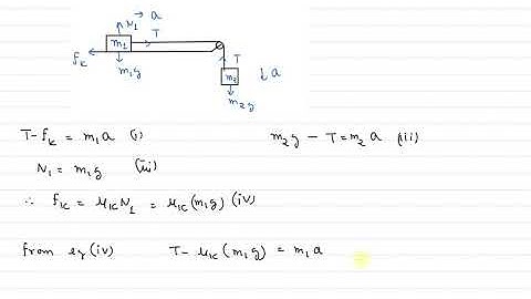
A block A of massm1 rests on a horizontal table. A light string connected to it passes over a fr....

Tonton & Download Video Musik Gratis

⬇ DOWNLOAD NOW
Kalau muncul iklan pop-up, tutup lalu klik tombol kembali

Download lagu A block A of massm1 rests on a horizontal table. A light string connected to it passes over a fr.... secara gratis hanya untuk keperluan promosi. Dukung artis favorit kamu dengan membeli musik original di iTunes atau platform resmi lainnya.