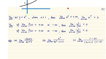
DSE M2 - F4 Ch04 Limit - Theorem - limit (e^x-1) over x

Tonton & Download Video Musik Gratis

⬇ DOWNLOAD NOW
Kalau muncul iklan pop-up, tutup lalu klik tombol kembali

Download lagu DSE M2 - F4 Ch04 Limit - Theorem - limit (e^x-1) over x secara gratis hanya untuk keperluan promosi. Dukung artis favorit kamu dengan membeli musik original di iTunes atau platform resmi lainnya.