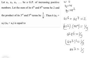
Let a1, a2, a3,... be a G.P. of increasing positive numbers. Let the sum of its 6th and 8th term 2

Tonton & Download Video Musik Gratis

⬇ DOWNLOAD NOW
Kalau muncul iklan pop-up, tutup lalu klik tombol kembali

Download lagu Let a1, a2, a3,... be a G.P. of increasing positive numbers. Let the sum of its 6th and 8th term 2 secara gratis hanya untuk keperluan promosi. Dukung artis favorit kamu dengan membeli musik original di iTunes atau platform resmi lainnya.