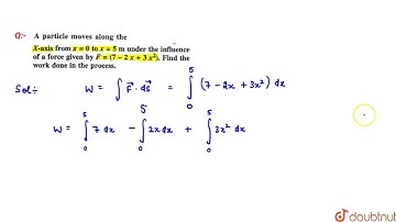
A particle moves along X-axis from `x=0` to `x=1` m under the influence of a force

Tonton & Download Video Musik Gratis

⬇ DOWNLOAD NOW
Kalau muncul iklan pop-up, tutup lalu klik tombol kembali

Download lagu A particle moves along X-axis from `x=0` to `x=1` m under the influence of a force secara gratis hanya untuk keperluan promosi. Dukung artis favorit kamu dengan membeli musik original di iTunes atau platform resmi lainnya.