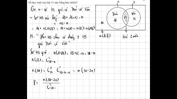
Toán 11: Một lớp 11 của một trường THPT có 18 học sinh học giỏi môn Toán, 12 học sinh học giỏi môn

Tonton & Download Video Musik Gratis

⬇ DOWNLOAD NOW
Kalau muncul iklan pop-up, tutup lalu klik tombol kembali

Download lagu Toán 11: Một lớp 11 của một trường THPT có 18 học sinh học giỏi môn Toán, 12 học sinh học giỏi môn secara gratis hanya untuk keperluan promosi. Dukung artis favorit kamu dengan membeli musik original di iTunes atau platform resmi lainnya.