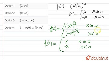
The set of all points where the function `f(x)=sqrt(1-e^(-x^2))` is differentiable is

Tonton & Download Video Musik Gratis

⬇ DOWNLOAD NOW
Kalau muncul iklan pop-up, tutup lalu klik tombol kembali

Download lagu The set of all points where the function `f(x)=sqrt(1-e^(-x^2))` is differentiable is secara gratis hanya untuk keperluan promosi. Dukung artis favorit kamu dengan membeli musik original di iTunes atau platform resmi lainnya.