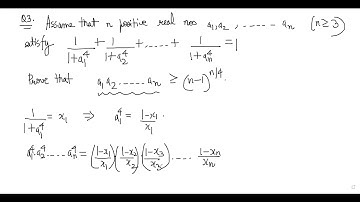
INMO 2013 - Fundamentals of Inequality | Maths Olympiad | Problem 3

Tonton & Download Video Musik Gratis

⬇ DOWNLOAD NOW
Kalau muncul iklan pop-up, tutup lalu klik tombol kembali

Download lagu INMO 2013 - Fundamentals of Inequality | Maths Olympiad | Problem 3 secara gratis hanya untuk keperluan promosi. Dukung artis favorit kamu dengan membeli musik original di iTunes atau platform resmi lainnya.