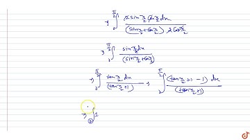
JEE MAINS 2018 Prove that: `int_0^(pi//2)(s in x)/(sinx_cosx)dx=pi/4`

Tonton & Download Video Musik Gratis

⬇ DOWNLOAD NOW
Kalau muncul iklan pop-up, tutup lalu klik tombol kembali

Download lagu JEE MAINS 2018 Prove that: `int_0^(pi//2)(s in x)/(sinx_cosx)dx=pi/4` secara gratis hanya untuk keperluan promosi. Dukung artis favorit kamu dengan membeli musik original di iTunes atau platform resmi lainnya.