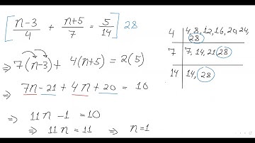
How to Solve LINEAR EQUATIONS WITH FRACTIONS | ALGEBRA 1 | Lowest Common Denominator (LCD)

Tonton & Download Video Musik Gratis

⬇ DOWNLOAD NOW
Kalau muncul iklan pop-up, tutup lalu klik tombol kembali

Download lagu How to Solve LINEAR EQUATIONS WITH FRACTIONS | ALGEBRA 1 | Lowest Common Denominator (LCD) secara gratis hanya untuk keperluan promosi. Dukung artis favorit kamu dengan membeli musik original di iTunes atau platform resmi lainnya.