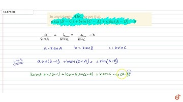
In any triangle ltmath gt ltmrow gt ltmi gtA lt/mi gt ltmi gtB lt/mi gt ltmi gtC lt/mi gt l

Tonton & Download Video Musik Gratis

⬇ DOWNLOAD NOW
Kalau muncul iklan pop-up, tutup lalu klik tombol kembali

Download lagu In any triangle ltmath gt ltmrow gt ltmi gtA lt/mi gt ltmi gtB lt/mi gt ltmi gtC lt/mi gt l secara gratis hanya untuk keperluan promosi. Dukung artis favorit kamu dengan membeli musik original di iTunes atau platform resmi lainnya.