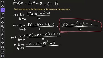
Limit Process: Slope of the Tangent Line at a Point (Quadratic Function)

Tonton & Download Video Musik Gratis

⬇ DOWNLOAD NOW
Kalau muncul iklan pop-up, tutup lalu klik tombol kembali

Download lagu Limit Process: Slope of the Tangent Line at a Point (Quadratic Function) secara gratis hanya untuk keperluan promosi. Dukung artis favorit kamu dengan membeli musik original di iTunes atau platform resmi lainnya.