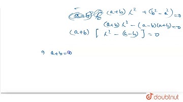
If x=1 is common root of equations ax2+ax+3=0 and x2+x+b=0, then value of ab will be:

Tonton & Download Video Musik Gratis

⬇ DOWNLOAD NOW
Kalau muncul iklan pop-up, tutup lalu klik tombol kembali

Download lagu If x=1 is common root of equations ax2+ax+3=0 and x2+x+b=0, then value of ab will be: secara gratis hanya untuk keperluan promosi. Dukung artis favorit kamu dengan membeli musik original di iTunes atau platform resmi lainnya.