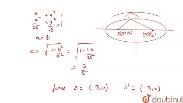
Letbe a variable point on the ellipse x^2/25+y^2/16=1 with focii at S and S^'. If A be the area o...

Tonton & Download Video Musik Gratis

⬇ DOWNLOAD NOW
Kalau muncul iklan pop-up, tutup lalu klik tombol kembali

Download lagu Letbe a variable point on the ellipse x^2/25+y^2/16=1 with focii at S and S^'. If A be the area o... secara gratis hanya untuk keperluan promosi. Dukung artis favorit kamu dengan membeli musik original di iTunes atau platform resmi lainnya.