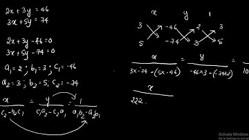
Cross Multiplication Method || Linear Equation in Two Variable Class 10 (part-5)

Tonton & Download Video Musik Gratis

⬇ DOWNLOAD NOW
Kalau muncul iklan pop-up, tutup lalu klik tombol kembali

Download lagu Cross Multiplication Method || Linear Equation in Two Variable Class 10 (part-5) secara gratis hanya untuk keperluan promosi. Dukung artis favorit kamu dengan membeli musik original di iTunes atau platform resmi lainnya.