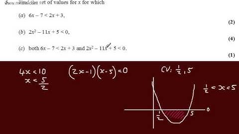
Q8 Core 1 Practice Paper A3 Edexcel C1 AS Maths

Tonton & Download Video Musik Gratis

⬇ DOWNLOAD NOW
Kalau muncul iklan pop-up, tutup lalu klik tombol kembali

Download lagu Q8 Core 1 Practice Paper A3 Edexcel C1 AS Maths secara gratis hanya untuk keperluan promosi. Dukung artis favorit kamu dengan membeli musik original di iTunes atau platform resmi lainnya.