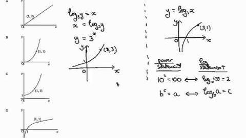
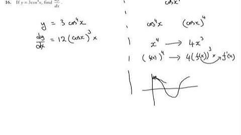
Q22 Paper1 2011 SQA Higher Mathematics Past Paper

Tonton & Download Video Musik Gratis

⬇ DOWNLOAD NOW
Kalau muncul iklan pop-up, tutup lalu klik tombol kembali

Download lagu Q22 Paper1 2011 SQA Higher Mathematics Past Paper secara gratis hanya untuk keperluan promosi. Dukung artis favorit kamu dengan membeli musik original di iTunes atau platform resmi lainnya.