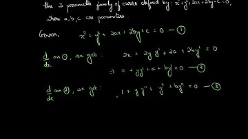
If x^2/a^2 + y^2/b^2 = 1 , then show that a^2*y^3*d2y/dx2 + b^4 =0 | Differential Calculus |#bscmath

Tonton & Download Video Musik Gratis

⬇ DOWNLOAD NOW
Kalau muncul iklan pop-up, tutup lalu klik tombol kembali

Download lagu If x^2/a^2 + y^2/b^2 = 1 , then show that a^2*y^3*d2y/dx2 + b^4 =0 | Differential Calculus |#bscmath secara gratis hanya untuk keperluan promosi. Dukung artis favorit kamu dengan membeli musik original di iTunes atau platform resmi lainnya.