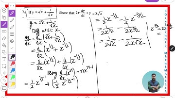
Differentiation of Algebraic Functions Lec 02 || Eagles Applied Mathematics || Exercise 2.1 Q1

Tonton & Download Video Musik Gratis

⬇ DOWNLOAD NOW
Kalau muncul iklan pop-up, tutup lalu klik tombol kembali

Download lagu Differentiation of Algebraic Functions Lec 02 || Eagles Applied Mathematics || Exercise 2.1 Q1 secara gratis hanya untuk keperluan promosi. Dukung artis favorit kamu dengan membeli musik original di iTunes atau platform resmi lainnya.