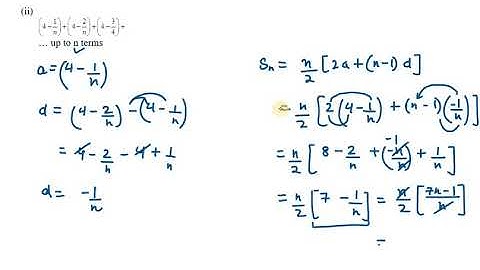
Find the sum (i) 1+(-2)+(-5)+(-8)+ … +(-236) (ii) (4-(1)/(n))+(4-(2)/(n))+(4-(3)/(n))+ … upto n ...

Tonton & Download Video Musik Gratis

⬇ DOWNLOAD NOW
Kalau muncul iklan pop-up, tutup lalu klik tombol kembali

Download lagu Find the sum (i) 1+(-2)+(-5)+(-8)+ … +(-236) (ii) (4-(1)/(n))+(4-(2)/(n))+(4-(3)/(n))+ … upto n ... secara gratis hanya untuk keperluan promosi. Dukung artis favorit kamu dengan membeli musik original di iTunes atau platform resmi lainnya.